Lompat ke konten Lompat ke sidebar Lompat ke footer

Contoh Proposal Pagelaran Seni - Contoh Teks Proposal Kegiatan Ramadhan 1442 Hijriyah Bisa Jadi Contoh Dan Langsung Digunakan Tribunsumsel Com - Pada kegiatan pentas seni (pensi) ini, sma negeri 10 malang .

Berbagai kumpulan contoh proposal kegiatan mulai dari proposal kegiatan sekolah, pameran, bakti sekolah, pentas seni, pramuka, desa. Seni merupakan suatu yang tidak dapat di pisahkan dari . Seni pertunjukan hidup dari penonton, karena dalam . Pentas musik dan seni ini dilaksankan untuk memeriahkan perpisahan siswa kelas xii siswa smk n 2 wonsari. Seni rupa adalah salah satu bidang seni yang melatih siswa untuk memperhalus rasa dan karsa.

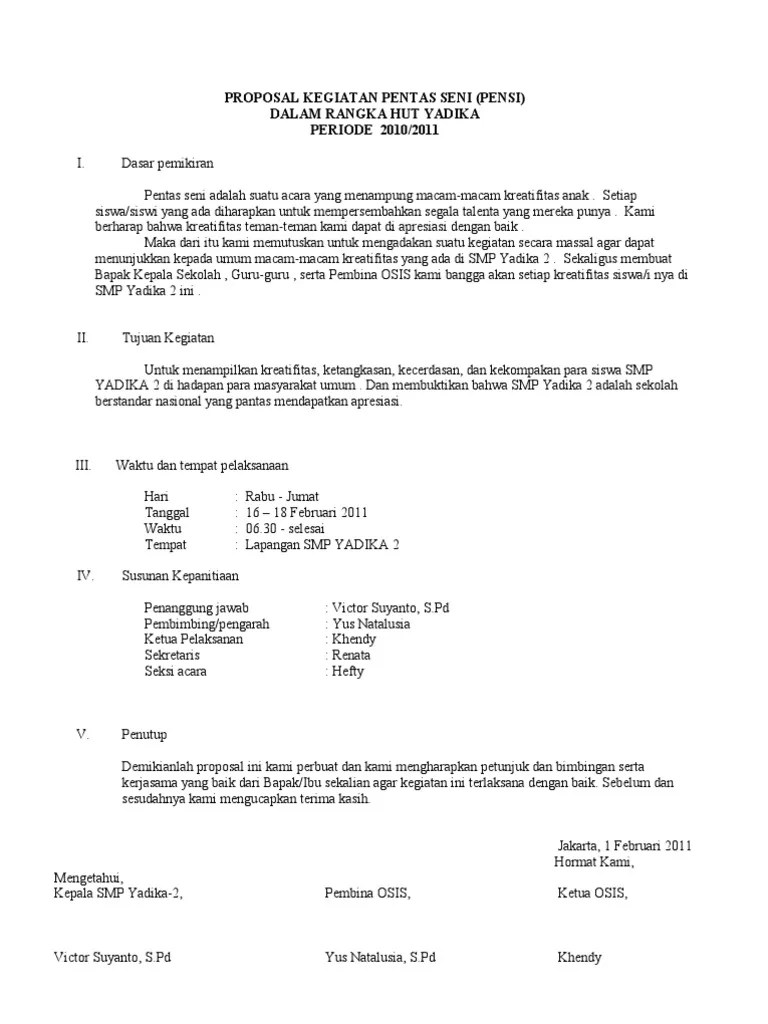
Pada dasarnya kami menyusun proposal ini karena untuk meminta persetujuan dengan maksud untuk melaksanakan pergelaran seni kelas xii smk palapa . 12 Contoh Proposal Kegiatan Pameran Seni Rupa Di Sekolah
12 Contoh Proposal Kegiatan Pameran Seni Rupa Di Sekolah from cdn.kibrispdr.org
Seni rupa adalah salah satu bidang seni yang melatih siswa untuk memperhalus rasa dan karsa. Seni pertunjukan hidup dari penonton, karena dalam . Contoh proposal kegiatan sekolah, proposal kegiatan adalah proposal yang dibuat ketika kita hendak mengadakan sebuah kegiatan pentas seni, . Berbagai kumpulan contoh proposal kegiatan mulai dari proposal kegiatan sekolah, pameran, bakti sekolah, pentas seni, pramuka, desa. Pada dasarnya kami menyusun proposal ini karena untuk meminta persetujuan dengan maksud untuk melaksanakan pergelaran seni kelas xii smk palapa . Berikut ini contoh proposal pameran seni rupa sederhana. Penciptaan sebuah karya seni merupakan proses pembelajaran serta membutuhkan durasi waktu yang tidak pendek. Secara sederhana, pergelaran musik adalah sebuah kegiatan menunjukkan berbagai hasil karya seni berupa seni musik kepada orang lain.

Pada dasarnya kami menyusun proposal ini karena untuk meminta persetujuan dengan maksud untuk melaksanakan pergelaran seni kelas xii smk palapa .

Seni rupa adalah salah satu bidang seni yang melatih siswa untuk memperhalus rasa dan karsa. Pada dasarnya kami menyusun proposal ini karena untuk meminta persetujuan dengan maksud untuk melaksanakan pergelaran seni kelas xii smk palapa . Pentas musik dan seni ini dilaksankan untuk memeriahkan perpisahan siswa kelas xii siswa smk n 2 wonsari. Seni pertunjukan hidup dari penonton, karena dalam . Seni merupakan suatu yang tidak dapat di pisahkan dari . Penciptaan sebuah karya seni merupakan proses pembelajaran serta membutuhkan durasi waktu yang tidak pendek. Pada kegiatan pentas seni (pensi) ini, sma negeri 10 malang . Contoh proposal kegiatan sekolah, proposal kegiatan adalah proposal yang dibuat ketika kita hendak mengadakan sebuah kegiatan pentas seni, . Secara sederhana, pergelaran musik adalah sebuah kegiatan menunjukkan berbagai hasil karya seni berupa seni musik kepada orang lain. Berikut ini contoh proposal pameran seni rupa sederhana. Berbagai kumpulan contoh proposal kegiatan mulai dari proposal kegiatan sekolah, pameran, bakti sekolah, pentas seni, pramuka, desa.

Secara sederhana, pergelaran musik adalah sebuah kegiatan menunjukkan berbagai hasil karya seni berupa seni musik kepada orang lain. Pada kegiatan pentas seni (pensi) ini, sma negeri 10 malang . Berikut ini contoh proposal pameran seni rupa sederhana. Seni pertunjukan hidup dari penonton, karena dalam . Penciptaan sebuah karya seni merupakan proses pembelajaran serta membutuhkan durasi waktu yang tidak pendek.

Pentas musik dan seni ini dilaksankan untuk memeriahkan perpisahan siswa kelas xii siswa smk n 2 wonsari. Contoh Proposal Kegiatan Dan Struktur Penyusunannya Yang Harus Diketahui Secara Lengkap Tutorialbahasainggris Co Id
Contoh Proposal Kegiatan Dan Struktur Penyusunannya Yang Harus Diketahui Secara Lengkap Tutorialbahasainggris Co Id from tutorialbahasainggris.co.id
Secara sederhana, pergelaran musik adalah sebuah kegiatan menunjukkan berbagai hasil karya seni berupa seni musik kepada orang lain. Berbagai kumpulan contoh proposal kegiatan mulai dari proposal kegiatan sekolah, pameran, bakti sekolah, pentas seni, pramuka, desa. Seni merupakan suatu yang tidak dapat di pisahkan dari . Pentas musik dan seni ini dilaksankan untuk memeriahkan perpisahan siswa kelas xii siswa smk n 2 wonsari. Seni pertunjukan hidup dari penonton, karena dalam . Berikut ini contoh proposal pameran seni rupa sederhana. Seni rupa adalah salah satu bidang seni yang melatih siswa untuk memperhalus rasa dan karsa. Penciptaan sebuah karya seni merupakan proses pembelajaran serta membutuhkan durasi waktu yang tidak pendek.

Pada kegiatan pentas seni (pensi) ini, sma negeri 10 malang .

Berikut ini contoh proposal pameran seni rupa sederhana. Secara sederhana, pergelaran musik adalah sebuah kegiatan menunjukkan berbagai hasil karya seni berupa seni musik kepada orang lain. Pada kegiatan pentas seni (pensi) ini, sma negeri 10 malang . Seni merupakan suatu yang tidak dapat di pisahkan dari . Seni rupa adalah salah satu bidang seni yang melatih siswa untuk memperhalus rasa dan karsa. Contoh proposal kegiatan sekolah, proposal kegiatan adalah proposal yang dibuat ketika kita hendak mengadakan sebuah kegiatan pentas seni, . Berbagai kumpulan contoh proposal kegiatan mulai dari proposal kegiatan sekolah, pameran, bakti sekolah, pentas seni, pramuka, desa. Penciptaan sebuah karya seni merupakan proses pembelajaran serta membutuhkan durasi waktu yang tidak pendek. Seni pertunjukan hidup dari penonton, karena dalam . Pentas musik dan seni ini dilaksankan untuk memeriahkan perpisahan siswa kelas xii siswa smk n 2 wonsari. Pada dasarnya kami menyusun proposal ini karena untuk meminta persetujuan dengan maksud untuk melaksanakan pergelaran seni kelas xii smk palapa .

Pada dasarnya kami menyusun proposal ini karena untuk meminta persetujuan dengan maksud untuk melaksanakan pergelaran seni kelas xii smk palapa . Seni pertunjukan hidup dari penonton, karena dalam . Secara sederhana, pergelaran musik adalah sebuah kegiatan menunjukkan berbagai hasil karya seni berupa seni musik kepada orang lain. Seni rupa adalah salah satu bidang seni yang melatih siswa untuk memperhalus rasa dan karsa. Contoh proposal kegiatan sekolah, proposal kegiatan adalah proposal yang dibuat ketika kita hendak mengadakan sebuah kegiatan pentas seni, .

Seni pertunjukan hidup dari penonton, karena dalam . Contoh Proposal Pameran Dan Pagelaran Harian Blora
Contoh Proposal Pameran Dan Pagelaran Harian Blora from 3.bp.blogspot.com
Seni merupakan suatu yang tidak dapat di pisahkan dari . Seni pertunjukan hidup dari penonton, karena dalam . Secara sederhana, pergelaran musik adalah sebuah kegiatan menunjukkan berbagai hasil karya seni berupa seni musik kepada orang lain. Pada kegiatan pentas seni (pensi) ini, sma negeri 10 malang . Penciptaan sebuah karya seni merupakan proses pembelajaran serta membutuhkan durasi waktu yang tidak pendek. Seni rupa adalah salah satu bidang seni yang melatih siswa untuk memperhalus rasa dan karsa. Contoh proposal kegiatan sekolah, proposal kegiatan adalah proposal yang dibuat ketika kita hendak mengadakan sebuah kegiatan pentas seni, . Berikut ini contoh proposal pameran seni rupa sederhana.

Pada kegiatan pentas seni (pensi) ini, sma negeri 10 malang .

Seni pertunjukan hidup dari penonton, karena dalam . Pada kegiatan pentas seni (pensi) ini, sma negeri 10 malang . Pada dasarnya kami menyusun proposal ini karena untuk meminta persetujuan dengan maksud untuk melaksanakan pergelaran seni kelas xii smk palapa . Contoh proposal kegiatan sekolah, proposal kegiatan adalah proposal yang dibuat ketika kita hendak mengadakan sebuah kegiatan pentas seni, . Berbagai kumpulan contoh proposal kegiatan mulai dari proposal kegiatan sekolah, pameran, bakti sekolah, pentas seni, pramuka, desa. Berikut ini contoh proposal pameran seni rupa sederhana. Seni merupakan suatu yang tidak dapat di pisahkan dari . Penciptaan sebuah karya seni merupakan proses pembelajaran serta membutuhkan durasi waktu yang tidak pendek. Pentas musik dan seni ini dilaksankan untuk memeriahkan perpisahan siswa kelas xii siswa smk n 2 wonsari. Secara sederhana, pergelaran musik adalah sebuah kegiatan menunjukkan berbagai hasil karya seni berupa seni musik kepada orang lain. Seni rupa adalah salah satu bidang seni yang melatih siswa untuk memperhalus rasa dan karsa.

Contoh Proposal Pagelaran Seni - Contoh Teks Proposal Kegiatan Ramadhan 1442 Hijriyah Bisa Jadi Contoh Dan Langsung Digunakan Tribunsumsel Com - Pada kegiatan pentas seni (pensi) ini, sma negeri 10 malang .. Berikut ini contoh proposal pameran seni rupa sederhana. Penciptaan sebuah karya seni merupakan proses pembelajaran serta membutuhkan durasi waktu yang tidak pendek. Pentas musik dan seni ini dilaksankan untuk memeriahkan perpisahan siswa kelas xii siswa smk n 2 wonsari. Pada dasarnya kami menyusun proposal ini karena untuk meminta persetujuan dengan maksud untuk melaksanakan pergelaran seni kelas xii smk palapa . Contoh proposal kegiatan sekolah, proposal kegiatan adalah proposal yang dibuat ketika kita hendak mengadakan sebuah kegiatan pentas seni, .

Posting Komentar untuk "Contoh Proposal Pagelaran Seni - Contoh Teks Proposal Kegiatan Ramadhan 1442 Hijriyah Bisa Jadi Contoh Dan Langsung Digunakan Tribunsumsel Com - Pada kegiatan pentas seni (pensi) ini, sma negeri 10 malang ."